Introducción

El presente estudio tiene como objeto, realizar un análisis de los imaginarios que se tejen en la institución sobre la educación ambiental en la institución educativa Laboratorio Pedagógico UNDAC. Pasco, desde la perspectiva de describir e interpretar el estado en que se encuentra la educación ambiental en la institución educativa Laboratorio Pedagógico UNDAC. Pasco, identificándose de esta manera un grupo de temáticas ambientales inmersas tanto en el currículo como en el plan de estudios de la institución educativa, lo anterior con el fin de proponer e implementar una serie de ajustes al tema de la educación ambiental y al desarrollo sostenible en la práctica pedagógica y los planes de estudio de la institución. Desde el marco de lo anteriormente expuesto, la presente investigación se plantea el siguiente interrogante: ¿Qué imaginarios colectivos se tejen en torno al ideal de una educación ambiental, en la institución educativa Laboratorio Pedagógico UNDAC Pasco?, ubicada en la región Pasco

Metodología

El método que se utilizó en este estudio fue el método hipotético- deductivo y según Bisquerra (2010) menciona:

El método hipotético deductivo a partir de la observación de casos particulares se plantea un problema. A través de un proceso de inducción, este problema remite a una teoría. A partir del marco teórico se formula una hipótesis, mediante un razonamiento deductivo, que posteriormente se intenta validar empíricamente. El ciclo completo inducción/deducción se conoce como proceso hipotético deductivo (p. 62).

Participantes

La población según Méndez (2000), constituye el universo de la investigación. En este mismo orden de ideas, y según Chávez (2003; 162), la población de un estudio es “el universo de la investigación, sobre el cual se pretende generalizar los resultados.

Está constituida por características o extractos que le permiten distinguir los sujetos unos de otros”. Dado que la población era asequible a la investigadora se decidió aplicar la técnica del Censo, haciendo esto que la población sea equivalente a la muestra. En este sentido, la población estará conformada por todos los estudiantes matriculados en la primaria, en la Institución Educativa Laboratorio Pedagógico UNDAC Pasco. La muestra fue de 110 estudiantes debidamente registrados según datos de la matricula oficial.

Técnicas de recolección de información

En el desarrollo de la investigación se utilizará las siguientes técnicas e instrumentos de recolección de datos:

Para el recojo de la informas de las tres las variables: Cultura Escolar, educación ambiental y aprendizaje relacionado al ambiente se utilizará la técnica de la encuesta y su respectivo instrumento, el cuestionario de preguntas.

Instrumentos de recolección de datos:

Instrumento de medición para la variable 1, Cultura escolar

Se empleará la Escala de Cultura Escolar para estudiantes elaborado por el Instituto Nacional para la Evaluación de la Educación. Las preguntas son cerradas y la escala de respuestas para cada pregunta es (5) muy de acuerdo, (4) de acuerdo, (3) en desacuerdo, (2) muy en desacuerdo,

sin elementos para responder y (0) indeciso

Instrumento de medición para la variable 2, Educación ambiental.

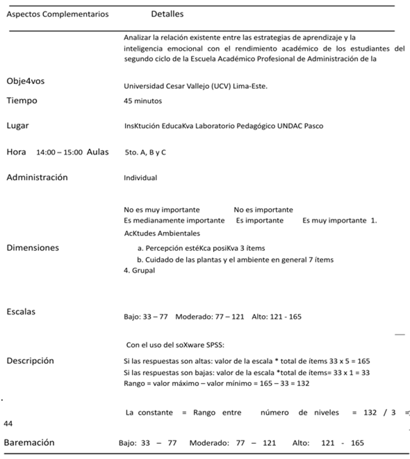
Se asumirá la Escala de Evaluación de la Educación Ambiental para estudiantes de educación secundaria, elaborado por Zevallos (2005). Las preguntas son cerradas y la escala de respuestas para cada pregunta es (5) Es muy importante, (4) Es importante, (3) Es medianamente importante,

No es importante, (1) No es muy importante.

Instrumento de medición para la variable 3, Aprendizaje relacionado al ambiente:

Se asumirá la Escala de Evaluación del Aprendizaje relacionado al ambiente para estudiantes de educación secundaria, elaborado por Zevallos (2005). Las preguntas son cerradas y la escala de respuestas para cada pregunta es (5) Es muy importante, (4) Es importante, (3) Es medianamente importante, (2) No es importante, (1) No es muy importante.

Confiabilidad y validez de los instrumentos de validación:

Para efectos de la presente investigación se utilizarán tres cuestionarios cuya confiabilidad se determinará, luego de la aplicación de una prueba Piloto, mediante el alfa de Cronbach.

Confiabilidad

Criterios a tomar en cuenta para evaluar los coeficientes de alfa de Cronbach:

Como criterio general, George y Mallery (2003, p. 231) sugieren las recomendaciones siguientes para evaluar los coeficientes de alfa de Cronbach:

Tabla 6. Criterios para evaluar los coeficientes de alfa de Cronbach

Criterios para evaluar los coeficientes de alfa de Cronbach

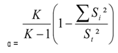
Fórmula a utilizar: Se aplicar la fórmula del alfa de Cronbach.

Fórmula del alfa de Cronbach

Tabla 7. Ficha técnica del cuestionario de la variable 01: Cultura Escolar

Ficha técnica del cuestionario de la variable 01: Cultura Escolar

Nota Baremo. Son escalas de valores que se establecen para clasificar los niveles y rangos de las variables y sus dimensiones, con la finalidad de viabilizar la elaboración de tablas de frecuencias y figuras estadísticas cuando se procesa con el SPSS.

Procedimiento de recolección de datos

Teniendo en cuenta que la recolección de datos es un proceso meticuloso y ditcil, pues requiere un instrumento de medición que sirva para obtener la información necesaria para estudiar un aspecto o el conjunto de aspectos de un problema.

Para la presente investigación se tendrá en cuenta como primer paso la revisión de los instrumentos para la recolección de datos, luego se procederá a coordinar con el director de la Institución Educativa Laboratorio Pedagógico UNDAC Pasco, para la autorización y aplicación de los instrumentos de medición. Durante el proceso de selección se administrarán las pruebas según el horario establecido en la ficha técnica, para ello, se coordinará con anticipación la fecha y hora en que se evaluaría.

La aplicación de los instrumentos se realizará dando las instrucciones y explicándoles cómo deben marcar las respuestas según las alternativas de las pruebas. Terminada la evaluación, se revisarán las respuestas y los valores obtenidos los cuales serán trasladados a una base de datos de ambas variables para su posterior utilización a través de los programas SPSS versión 21 y el Excel

4.8. Método de análisis de datos:

Consiste en especificar cómo fueron tratados los datos, tarea que se realiza mediante tablas de frecuencia y figuras con sus correspondientes análisis e interpretaciones. Para la prueba de hipótesis se tiene en cuenta el análisis paramétrico y el no paramétrico. En base a ello se tiene lo siguiente:

Se elaborará la base de datos para las variables en estudio. Allí se guardarán los valores obtenidos a través de la aplicación de los instrumentos de medición, para luego ser utilizados en el análisis descriptivo e inferencial mediante el programa SPSS y el Excel.

Para la presentación de los resultados de la investigación, se elaborarán tablas de frecuencia con la finalidad de resumir informaciones de ambas variables de estudio y a través de ellas, se intentará elaborar figuras estadísticas con el propósito de conseguir un rápido análisis visual donde ofrezca la mayor información.

Asimismo, para llevar a cabo la prueba de hipótesis, se realizó con el estadístico de Spearman por haber utilizado escalas ordinales y este sustento es confirmado por Guillen (2013) quien menciona “es una prueba estadística que permite medir la correlación o asociación de dos variables y es aplicable cuando las mediciones se realizan en una escala ordinal, aprovechando la clasificación por rangos” (p. 91).

Aspectos éticos:

Por cuestiones éticas no se mencionarán los nombres de los estudiantes que constituyan las unidades de análisis de la investigación, tampoco de los docentes responsables del área en cuestión, dicha relación es de privacidad del investigador.

La investigación se realizará teniendo en cuenta los procedimientos establecidos en la universidad y se solicitarían las autorizaciones pertinentes, para la toma de muestra, sin falseamiento de datos.

La investigación buscara mejorar el conocimiento y la generación de valor en la institución y su grupo de interés.

El trabajo de investigación guardara la originalidad y autenticidad buscando un aporte por parte de la tesista hacia la comunidad científica.

Los estudiantes participantes en la investigación serán seleccionados en forma justa y equitativa y sin prejuicios personales o preferencias. Se respetó la autonomía de los participantes.

Se respetó los resultados obtenidos, sin modificar las conclusiones, simplificar, exagerar u ocultar los resultados. No se utilizarán datos falsos ni se elaborará un informe intencionado. No se cometerá plagio, se respetará la propiedad intelectual de los autores y se citará de manera correcta cuando se utilicen partes de textos o citas de otros autores.

Resultados

Presentación y análisis de los resultados Descripción de resultados

Variable. Cultura escolar

Según la tabla 1 podemos mencionar a nivel descriptivo sobre la cultura escolar en estudiantes de secundaria de la Institución Educativa Laboratorio Pedagógico UNDAC. Pasco como se detalla de la siguiente manera, el 33,6 % de los encuestados menciona que posee un aprendizaje muy bajo, un 36,4 % en un nivel moderado, y un 30 % nivel alto. Según estos datos el aprendizaje se distribuye en todos sus niveles casi de manera homogénea.

Tabla 1Niveles de cultura escolarNiveles de cultura escolar

Variable. Educación ambiental

Según la tabla 2 podemos mencionar a nivel descriptivo sobre la educación ambiental en estudiantes de primaria de la Institución Educativa Laboratorio Pedagógico UNDAC. Pasco, como se detalla de la siguiente manera, el 30,9 % de los encuestados menciona que posee un aprendizaje muy bajo, un 21,8 % en un nivel bajo, un 26, 4 % en un nivel medio y un 20 % nivel alto. Según estos datos el aprendizaje se distribuye en todos sus niveles casi de manera homogénea.

Tabla 2Niveles de educación ambientalNiveles de educación ambiental

Variable Aprendizaje sobre el ambiente

Según la tabla 3 podemos mencionar a nivel descriptivo sobre el aprendizaje sobre el ambiente en estudiantes de primaria de la Institución Educativa Laboratorio Pedagógico UNDAC. Pasco, cómo se detalla de la siguiente manera, el 26,4 % de los encuestados menciona que posee un aprendizaje bajo, un 23,6 % en un nivel regular, un 27, 3 % en un nivel bueno y un 22,7 % nivel muy bueno. Según estos datos el aprendizaje se distribuye en todos sus niveles casi de manera homogénea.

Tabla 3Niveles de aprendizaje sobre el ambienteNiveles de aprendizaje sobre el ambiente

Prueba de hipótesis.

Formulación de hipótesis.

Existe relación positiva y significativa entre la cultura escolar y la educación ambiental con el aprendizaje referido al ambiente en estudiantes de educación primaria de la Institución Educativa Laboratorio Pedagógico UNDAC. Pasco

Condición de correlación

Condición de correlación

Tabla 4.Correlaciones entre la cultura escolar la educación ambiental y el aprendizaje referido al ambienteCorrelaciones entre la cultura escolar la educación ambiental y el aprendizaje referido al ambiente

Nota: N= Muestra, sig. = Significancia estadística **. La correlación es significativa en el nivel 0,01 (bilateral)

Como se aprecia en la tabla 4, de acuerdo con el coeficiente de correlación de spearman existe una relación altamente significativa entre las variables cultura escolar y la educación ambiental con el aprendizaje referido al ambiente en estudiantes de educación primaria de la Institución Educativa Laboratorio Pedagógico UNDAC. Pasco, siendo esta relación de magnitud fuerte (r =.742) entre educación ambiental y aprendizaje sobre el ambiente, asimismo se evidencia una relación moderada (r = .482) entre cultura escolar y aprendizaje sobre el ambiente. De tendencia positiva en ambos casos, asimismo el P valor es menor al grado de significancia estadística (P=.000 < 0.05) en ese sentido se rechaza la hipótesis nula y se acepta la hipótesis alterna: Existe relación significativa entre la cultura escolar y la educación ambiental con el aprendizaje referido al ambiente en estudiantes de educación primaria de la Institución Educativa Laboratorio Pedagógico UNDAC. Pasco, además el tamaño del afecto es grande de 54.7 = 54 %, lo que significa la educación ambiental explica en un 54 % el aprendizaje sobre el ambiente y de 23.04 = 23 % siendo pequeño, lo que evidencia que la cultura escolar explica en un 23 % el aprendizaje sobre el ambiente.

Hipótesis específica 1

Existe relación positiva y significativa entre la cultura escolar con el aprendizaje referido al ambiente en estudiantes en la Institución educativa Laboratorio Pedagógico UNDAC. Pasco.

Tabla 5Correlaciones entre la cultura escolar y el aprendizaje referido al ambienteCorrelaciones entre la cultura escolar y el aprendizaje referido al ambiente

Nota: N= Muestra, sig. = Significancia estadística **. La correlación es significativa en el nivel 0,00 (bilateral).

Como se aprecia en la tabla 5, de acuerdo con el coeficiente de correlación de spearman existe una relación altamente significativa entre la cultura escolar y el aprendizaje sobre el ambiente, siendo esta relación de magnitud moderada (r = .48) y de tendencia positiva, asimismo el P valor es menor al grado de significancia estadística (P= .000 < 0.05) en ese sentido se rechaza la hipótesis nula y se acepta la hipótesis alterna: Existe relación significativa entre la cultura escolar con el aprendizaje referido al ambiente en estudiantes en la Institución educativa Laboratorio Pedagógico UNDAC. Pasco.

Hipótesis específica 2

- Existe relación positiva y significativa entre la educación ambiental con el aprendizaje referido al ambiente en la Institución educativa Laboratorio Pedagógico UNDAC. Pasco.

Tabla 6Correlaciones entre educación ambiental y el aprendizaje referido al ambienteCorrelaciones entre educación ambiental y el aprendizaje referido al ambiente

.Nota: N= Muestra, sig. = Significancia estadís_ca **. La correlación es significa_va en el nivel 0,01 (bilateral).

Como se aprecia en la tabla 6 , de acuerdo con el coeficiente de correlación de spearman existe una relación altamente significativa entre la educación ambiental con el aprendizaje referido al ambiente, siendo esta relación de magnitud moderada (r = .74) y de tendencia positiva, asimismo el P valor es menor al grado de significancia estadística (P= .00 < 0.05) en ese sentido se rechaza la hipótesis nula y se acepta la hipótesis alterna: Existe relación significativa entre la educación ambiental con el aprendizaje referido al ambiente en la Institución educativa Laboratorio Pedagógico UNDAC. Pasco.

De acuerdo con el coeficiente de correlación de Spearmam existe una relación altamente significativa entre la cultura escolar y el aprendizaje sobre el ambiente, siendo esta relación de magnitud moderada (r = .48) y de tendencia positiva, asimismo el P valor es menor al grado de significancia estadística (P= .000 < 0.05) en ese sentido se rechaza la hipótesis nula y se acepta la hipótesis alterna: Existe relación significativa entre la cultura escolar con el aprendizaje referido al ambiente en estudiantes en la Institución educativa Laboratorio Pedagógico UNDAC. Pasco.

Discusión

Según la tabla 1 podemos mencionar a nivel descriptivo sobre la cultura escolar en estudiantes de secundaria de la Institución Educativa Laboratorio Pedagógico UNDAC. Pasco como se detalla de la siguiente manera, el 33,6 % de los encuestados menciona que posee un aprendizaje muy bajo, un 36,4 % en un nivel moderado, y un 30 % nivel alto. Según estos datos el aprendizaje se distribuye en todos sus niveles casi de manera homogénea.

Según la tabla 2 podemos mencionar a nivel descriptivo sobre el aprendizaje sobre el ambiente en estudiantes de primaria de la Institución Educativa Laboratorio Pedagógico UNDAC. Pasco, cómo se detalla de la siguiente manera, el 26,4 % de los encuestados menciona que posee un aprendizaje bajo, un 23,6 % en un nivel regular, un 27, 3 % en un nivel bueno y un 22,7 % nivel muy bueno. Según estos datos el aprendizaje se distribuye en todos sus niveles casi de manera homogénea.

Al establecer la relación de magnitud fuerte (r = .742) entre educación ambiental y aprendizaje sobre el ambiente, asimismo se evidencia una relación moderada (r = .482) entre cultura escolar y aprendizaje sobre el ambiente. De tendencia positiva en ambos casos, asimismo el P valor es menor al grado de significancia estadística (P= .000 < 0.05) en ese sentido se rechaza la hipótesis nula y se acepta la hipótesis alterna: Existe relación significativa entre la cultura escolar y la educación ambiental con el aprendizaje referido al ambiente en estudiantes de educación primaria de la Institución Educativa Laboratorio Pedagógico UNDAC.

Conclusión

En nuestro estudio se introdujeron un total de 16 variables, al realizar un diagnóstico de la información original comprobamos que los datos son adecuados para la aplicación de nuestro análisis descriptivo, así el aprendizaje sobre el ambiente en estudiantes de primaria de la Institución Educativa Laboratorio Pedagógico UNDAC. Pasco, cómo se detalla de la siguiente manera, el 26,4 % de los encuestados menciona que posee un aprendizaje bajo, un 23,6 % en un nivel regular, un 27, 3 % en un nivel bueno y un 22,7 % nivel muy bueno. Según estos datos el aprendizaje se distribuye en todos sus niveles casi de manera homogénea.

Al establecer la relación de magnitud fuerte (r = .742) entre educación ambiental y aprendizaje sobre el ambiente, asimismo se evidencia una relación moderada (r = .482) entre cultura escolar y aprendizaje sobre el ambiente. De tendencia positiva en ambos casos, asimismo el P valor es menor al grado de significancia estadística (P= .000 < 0.05) en ese sentido se rechaza la hipótesis nula y se acepta la hipótesis alterna: Existe relación significativa entre la cultura escolar y la educación ambiental con el aprendizaje referido al ambiente en estudiantes de educación primaria de la Institución Educativa Laboratorio Pedagógico UNDAC.

Se concluye que se establece la relación directa entre las variables en el estudio mediante la correlación de Pearson.